Klang von Trommeln und das Längenspektrum von Flächen.
Vor 2 Wochen hatten wir darüber geschrieben, daß der Klang einer Trommel (das
Klangspektrum) von den Eigenwerten des Laplace-Operators auf der Trommelfläche (dem
Spektrum des Laplace-Operators) abhängt.
Das
Spektrum des Laplace-Operators wird wiederum vom
Längenspektrum determiniert (Selbergsche Spurformel) und das kann man benutzen, um unterschiedliche 'hyperbolische Trommeln' mit demselben Klangspektrum zu konstruieren.
Längenspektrum
Zur Erinnerung (
TvF 56): Geodäten sind kürzeste Wege auf einer Fläche, jedenfalls lokal.
Geodäten sind entweder "geschlossen" (d.h. periodisch, sie schließen sich nach einer bestimmten Periode wie die Großkreise auf der Sphäre) oder nicht. (Wenn sie sich nicht schließen, sind sie unendlich lang.)
Als
Längenspektrum einer Fläche bezeichnet man die
Längen geschlossener Geodäten auf der Fläche.
Beispiele: Auf einer runden Sphäre von Radius r haben alle geschlossenen Geodäten (d.h. Großkreise) Länge 2πr.
Dagegen sind auf einer Fläche mit Henkeln nicht alle Geodäten gleichlang. Man sieht, daß im Bild rechts oben die Longitude länger ist als der Meridian. Und z.B. eine geschlossene Geodäte, die sich mehrmals um den Torus windet, wäre natürlich länger als beide.
Für einenTorus (mit einer flachen Metrik) ist es elementar, das Längenspektrum zu berechnen.
Für hyperbolische Flächen berechnet sich das Längenspektrum über Spuren von Matrizen, dazu nächste Woche.
Selbergs Spurformel
Über den Zusammenhang von Klangspektrum und Längenspektrum.
Selbergs Spurformel (mit Anwendungen in Zahlentheorie, Analysis, ...) besagt,
daß die Längen der geschlossenen Geodäten die Eigenwerte des Laplace-Operators determinieren. Der Klang einer Trommel hängt also ab von den geschlossenen Geodäten auf der Trommelfläche.
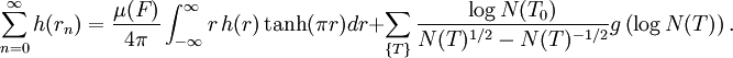
Die Formel ist relativ kompliziert:

und was die verschiedenen Terme bedeuten, liest man wohl am besten
direkt im Wikipedia-Artikel nach
Warum 'Spurformel'? Dazu nächste Woche ausführlicher. (Hier nur kurz: wie
in TvF 75 gesehen, kann man die Symmetrien der hyperbolischen Elemente durch 2x2-Matrizen beschreiben. Eine geschlossene Geodäte entspricht einer bestimten Matrix. (Elemente der Fundamentalgruppe entsprechen Symmetrien der universellen Überlagerung, dazu nächste Woche) Die Länge dieser geschlossenen Geodäte ist gerade ln(Tr(A)), sie hängt also von der Spur der entsprechenden Matrix ab.)
Gleichklingende hyperbolische Trommeln
Vigneras hat die Spurformel in einer bekannten
1980 veröffentlichten Arbeit benutzt, um auf hyperbolischen Flächen unterschiedliche Metriken mit demselben Klangspektrum zu konstruieren.
Nämlich, sie konstruiert mit zahlentheoretischen Methoden (Quaternionenalgebren etc.) hyperbolische Metriken, die dasselbe Längenspektrum und damit (wegen der Selbergschen Spurformel) auch dasselbe Klangspektrum haben.
Vigneras Konstruktion liefert nicht nur hyperbolische Flächen mit demselben Klangspektrum, sondern auch hyperbolische 3-Mannigfaltigkeiten und allgemein Mannigfaltigkeiten mit universeller Überlagerung (H
2)
k x (H
3)
l für alle k,l, womit man also Beispiele in jeder Dimension (größer 1) konstruieren kann.
Während ihre 2-dimensionalen Beispiele gleiches Geschlecht (gleiche Anzahl von Henkeln) haben, also zwar nicht isometrisch aber
homöomorph sind, sind ihre nicht-isometrischen 3-dimensionalen Beispiele (nach der Umkehrung von
Mostow's Starrheitssatz) auch nicht homöomorph.
Teil 1, Teil 2, Teil 3, Teil 4, Teil 5, Teil 6, Teil 7 , Teil 8, Teil 9 , Teil 10 ,Teil 11, Teil 12, Teil 13, Teil 14, Teil 15, Teil 16, Teil 17, Teil 18, Teil 19, Teil 20, Teil 21, Teil 22, Teil 23, Teil 24, Teil 25, Teil 26, Teil 27, Teil 28, Teil 29, Teil 30, Teil 31, Teil 32, Teil 33, Teil 34, Teil 35, Teil 36, Teil 37, Teil 38, Teil 39, Teil 40, Teil 41, Teil 42, Teil 43, Teil 44, Teil 45, Teil 46, Teil 47, Teil 48, Teil 49, Teil 50, Teil 51, Teil 52, Teil 53, Teil 54, Teil 55, Teil 56, Teil 57, Teil 58, Teil 59, Teil 60, Teil 61, Teil 62, Teil 63, Teil 64, Teil 65, Teil 66, Teil 67, Teil 68, Teil 69, Teil 70, Teil 71, Teil 72, Teil 73, Teil 74, Teil 75, Teil 76, Teil 77